-
- 2022-10-06
- 2022-10-06
- 2022-10-06
- 2022-10-06
- 2022-10-05
- 2022-10-05
- 2022-11-08
- 2026-01-23
- 2022-10-07
- 2022-10-07
- 2019-04-16
- 2025-02-25
- 2025-02-25
- 2019-05-05
- 2019-05-05
- 2022-10-02
- 2022-10-02
- 2022-10-03
- 2026-01-23
- 2022-10-05
- 2022-10-05
- 2022-10-05
- 2022-10-05
- 2025-06-13
- 2025-06-13
- 2025-06-13
- 2025-06-13
- 2026-01-23
- 2026-01-23
- 2026-01-23
- 2022-10-05
- 2022-10-06
- 2022-10-06
- 2022-10-06
- 2022-10-06
- 2020-06-18
- 2019-04-16
- 2022-10-07
- 2019-04-16
- 2024-03-11
- 2024-03-11
-
- 2019-09-25
- 2019-03-19
- 2019-03-19
- 2019-03-19
- 2019-08-26
- 2019-08-26
- 2019-08-26
- 2019-08-26
- 2019-08-26
- 2019-08-26
- 2019-08-26
- 2019-08-27
- 2019-08-27
- 2019-08-27
- 2019-08-27
-
2020-01-03 涂层材料反射率测量.pdf
끂10347 305.87 KB -
2020-01-03 纳米材料反射率测量.pdf
끂11406 1.85 MB -
2020-01-03 镜面薄膜反射率测量.pdf
끂10617 2.96 MB -
2020-01-03 金属材料反射率测量.caj
끂3337 8.89 MB
- 2019-08-26
- 2022-10-12
- 2019-07-22
- 2019-04-15
-
- 2019-03-20
- 2019-03-20
- 2019-03-20
- 2026-02-03
- 2019-03-20
- 2026-01-27
- 2019-03-20
- 2019-03-20
- 2026-02-03
- 2026-02-03
- 2026-02-03
- 2026-02-03
- 2022-10-12
- 2020-01-10
- 2026-02-03
- 2019-03-20
- 2019-03-20
- 2019-03-20
- 2019-03-20
- 2019-03-20
-
2020-01-03 WIRIS 热像仪在安防领域的应用.pdf
끂11946 810.49 KB -
2020-01-03 S185机载高光谱用于监测雷区军事设施.pdf
끂10749 1.5 MB -
2020-01-03 S185机载高光谱用于爆炸装置的伪装识别.pdf
끂11132 4.33 MB
-
- 2019-12-31
- 2019-12-31
- 2019-12-31
- 2019-12-31
- 2020-01-02
- 2020-01-02
- 2020-01-02
- 2019-05-30
- 2019-03-20
- 2019-03-20
- 2019-03-19
- 2019-03-19
- 2022-10-28
- 2019-07-22
- 2019-03-20
- 2019-03-20
- 2022-10-28
- 2020-01-02
- 2020-01-02
- 2020-01-02
-
2020-01-03 南昌航空大学利用ET100研究铝合金等发射率.caj
끂3349 8.89 MB -
2020-01-03 美国桑迪亚大学利用410Solar测量太阳镜薄膜反射率.pdf
끂11055 2.96 MB -
2020-01-03 美国纳米材料研究中心利用410Solar测量纳米材料反射率.pdf
끂10978 1.85 MB -
2020-01-03 澳大利亚国立大学利用410Solar测量不同涂层材料反射率.pdf
끂10969 305.87 KB
-
- 2026-04-24
- 2022-11-21
- 2022-11-02
- 2022-10-30
- 2022-10-21
- 2020-09-25
- 2020-08-27
- 2020-08-19
- 2019-11-28
- 2019-09-05
- 2019-08-05
- 2019-07-31
- 2019-06-02
- 2019-06-02
- 2019-06-02
- 2019-06-02
- 2019-06-02
- 2019-06-02
- 2019-06-02
- 2019-06-02
- 2026-03-23
- 2019-06-18
- 2019-06-18
- 2019-06-18
- 2019-06-18
- 2019-06-18
- 2019-06-18
- 2019-06-18
- 2019-06-18
-
-
2019-03-18 UAS sensors and data processing in agroforestry a review towards practical applications.pdf
끂10756 4.78 MB -
-
-
2019-03-18 Influence of the Viewing Geometry Within Hyperspectral Images Retrieved from Uav Snapshot Cameras.pdf
끂10348 1.13 MB -
-
-
-
-
2022-11-21 安洲科技 无人机多源遥感产品册.pdf
끂13812 637.78 KB -
2020-08-26 WIRIS Pro 高性能机载热红外成像仪.pdf
끂10840 7.7 MB -
2020-08-26 SOC系列高光谱成像光谱仪.pdf
끂11381 7.11 MB -
2020-08-26 SEI高性能地物光谱仪.pdf
끂10423 2.4 MB -
2020-08-26 S185 机载画幅式高速高光谱成像仪.pdf
끂10823 3.96 MB -
2020-08-26 K6 科研级机载多光谱成像仪.pdf
끂9809 4.11 MB -
2020-08-26 425全波段高光谱成像系统.pdf
끂10753 829.76 KB
- 2020-01-02
- 2020-01-02
- 2020-01-02
- 2020-01-02
- 2020-01-02
- 2020-01-02
-
全国统一电话:4006-507-608
基于AHA2500系列高光谱成像遥感设备助力先进勘查技术及装备建设
矿产资源是自然资源的重要组成部分,是人类社会发展的重要物质基础。近年来,高分高光谱遥感技术在矿产勘查中展现出日益广泛的应用前景。以AHA2500高光谱成像仪为代表的设备,具备大范围、高精度矿物识别的技术特性,可作为高光谱遥感技术应用于野外勘查的重要装备之一。其能够在一定范围内识别蚀变矿物分布,辅助圈定找矿有利区,符合当前矿产勘查技术向精细化、高效化发展的趋势。近期,自然资源部发布的《新一轮找矿突破战略行动先进适用勘查技术推广清单(第一批)》中,“高分高光谱遥感技术”及相关的多尺度找矿靶区精准定位技术被列入,进一步明确了该技术方向在行业发展中的地位。
在此背景下,地质调查领域持续推进技术装备现代化进程。以AHG2500Plus高光谱设备为例,其具备的全波段观测与多源数据同步获取能力,在提升数据采集全面性与作业效率方面展现出相应特点,为野外勘查工作提供了可选的技术手段。这与全国地质调查工作会议在部署“十五五”任务时所强调的“推进地质调查装备现代化”方向相符,体现了行业对适用、高效、可靠技术装备的重视与实践。
总的来看,以高光谱成像仪为代表的现代遥感装备,适应了新时期地质调查工作对技术创新和效率提升的需求,其合理应用有助于提升勘查效能,是行业技术发展的重要方向之一。

1. 高光谱遥感矿产勘察原理
高光谱遥感矿产勘察进行具有高效覆盖、精准识别和低成本绿色勘探三大优势。利用卫星影像和航空摄影等手段,可快速探测大面积区域,精准提取地质构造和矿物分布信息,提高找矿效率。高光谱遥感数据能够识别矿区的地质异常特征,如矿体表面表现、岩性分布和构造特征,为地面勘探提供科学指导。与此同时,通过遥感先行开展先行观测、先行探测、先行监测,强化矿产资源精准快速调查,减少对地表生态环境的破坏,兼顾资源开发与生态保护。
高光谱遥感技术的发展,使得对矿物的识别更加精准。高光谱遥感数据通过纳米级光谱分辨率,获取目标物体在可见光到短波红外(400~2500nm)范围内数百个连续光谱波段的反射率信息,形成空间—光谱融合的三维数据立方体。层状硅酸盐矿物(如绿泥石、绢云母)因Al-OH、Mg-OH键的分子振动产生2200~2400 nm特征吸收谷;铁(氢)氧化物及硫酸盐矿物(如赤铁矿、针铁矿、黄钾铁矾)因Fe³⁺的电子跃迁产生850~950nm特征吸收谷;碳酸盐矿物(如方解石、白云石)因CO₃²⁻的C-O键分子振动产生~2330nm和~2500nm附近出现的双吸收峰。这些光谱特征与矿物的中温热液蚀变密切相关。这类特性使得HSI在矿物填图中,能够精确捕捉不同矿物的独特吸收峰和反射特征,从而进行更精细的定性和定量分析,为利用HSI实现矿产勘察提供了可能。

图1 8种蚀变矿物(500–2500纳米)的光谱曲线
2. 矿产蚀变信息提取方法
高光谱遥感通过探测岩石、矿物特有的光谱吸收与反射特征,能够对地表矿物进行精准识别与分类。这为矿产资源的勘探与开发提供了革命性手段。其纳米级的光谱分辨率使得该技术不仅支持大范围的蚀变矿物识别与地质填图,还能定量反演矿物化学成分、精细刻画蚀变分带,从而高效圈定找矿靶区、评估矿化潜力,甚至辅助隐伏矿体探测。此类信息对于深入理解区域地质构造、复原成矿过程与分析区域背景具有不可替代的意义,不仅显著提高了找矿成功率、降低了勘探成本,更推动地质研究从定性描述迈向半定量乃至定量分析的新阶段。

图2 露头石英脉AHG2500高光谱数据假彩色显示
矿化蚀变信息是成矿流体移动留下的地质记录,矿化蚀变信息的提取对于找矿靶区圈定具有重要意义[2]。遥感矿化蚀变信息提取是遥感矿产勘查中一项重要工作,可以提高矿产资源勘查效率,已得到广泛应用。目前高光谱矿物蚀变信息提取研究主要分为光谱特征参量化、光谱特征匹配及统计学习方法三大类[3]。
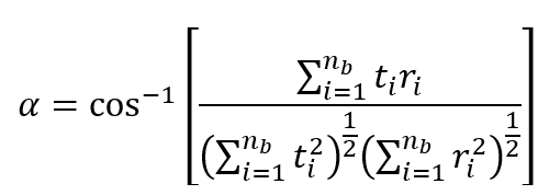
2.1.1 光谱角匹配法蚀变信息提取
光谱角匹配(SAM)是一种基于光谱相似性进行地物识别的匹配算法,,该方法将高光谱影像的波段视为多维向量,以影像中每个像元的光谱为待识别对象,并参考已知端元光谱进行分析。基于向量运算原理,通过计算影像光谱与端元光谱的夹角来评估其相似性。端元光谱多从是从光谱数据库中获得,也可以直接从影像中获得(ROI的平均光谱)。一般来说,角度越小代表与参考光谱越匹配,特定场景下,指定的阈值也被引入作为相似度的判别条件。由于高光谱遥感数据具有高维的光谱特征,在角度矢量空间上特征丰富,因此该方法是高光谱矿物识别的重要方法[4]。

图3 光谱角匹配原理示意图
光谱角计算公式如下:
式中,nb 为波段数,ti 为像元光谱,r 为参考光谱。
采用光谱角匹配方法进行研究区蚀变矿物信息提取,主要包括端元光谱选取和蚀变信息提取。端元光谱的选取主要分为三个部分:最小噪声分离(Minimum Noise Fraction,MNF)变换、PPI (Pixel Purity Index,PPI)计算、N维可视化与端元选取。
2.1.2 支持向量机法蚀变信息提取
支持向量机(SVM)是一种经典的二分类算法,其核心思想是找到一个能够有效分离不同类别样本的最优超平面。对于线性可分的数据集,SVM通过最大化硬间隔来构建线性分类器,确保所有正类和负类样本分别位于超平面的两侧,并且间隔最大化。当数据集近似线性可分时,SVM采用软间隔最大化,允许部分数据点在超平面的错误侧,通过引入惩罚参数C来平衡间隔最大化与分类错误的最小化。而对于非线性不可分的数据集,SVM利用核技巧将数据映射到高维空间,使得原本在低维空间中非线性不可分的数据在高维空间中变得线性可分,其分类原理如图所示。

图4 支持向量机原理示意图
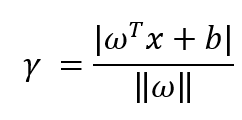
超平面可以通过以下方程表示:ωTx+b=0
其中,𝜔是超平面的法向量;偏置项b则表示超平面与原点之间的距离。通过𝜔和b可确定超平面,记作(𝜔,𝑏)。任意点x到超平面(𝜔,𝑏)的距离可表示为:
假设超平面(𝜔,𝑏)能够将训练样本正确分类,即对于训练集中的每个样本(xi,yi)∈D ,当yi=±1 ,满足ωTx+b>0 ;而当yi=-1 ,满足ωTx+b<0 。
![]()
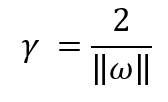
如图所示,两个超平面之间的距离为:
其中𝛾称为分类间隔。
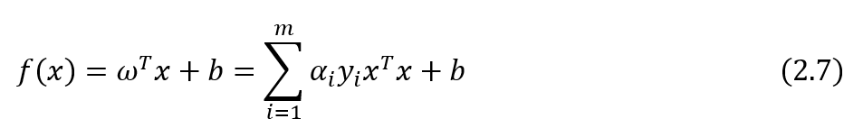
为了最大化间隔,SVM通过求解以下优化问题来找到 𝜔和b,使得它们满足(2.4)式中的约束条件,并使间隔𝛾达到最大,即:

为了求解上述带约束的优化问题,SVM对式(2.6)使用拉格朗日乘子法。求出模型为:

通过结合地质资料和影像波谱数据,标记了多种蚀变矿物作为训练样本,并按照一定的比例划分为训练集和测试集。采用线性SVM分类器,通过多次迭代优化模型参数,最终构建了蚀变信息提取的机器学习模型。
2.1.3 深度学习蚀变信息提取
随着机器学习理论的发展,高光谱矿物识别任务也迎来了新的契机。机器学习在高光谱影像矿物提取中具有许多优势,如人工数据预处理需求低,自动化和高效性、适应性强、准确性高,这些优势使得机器学习成为处理高光谱数据并从中提取矿物信息的重要工具[5]。
Transformer 网络是深度学习领域里常用于自然语言处理任务的一种模型架构,在序列数据的建模方面具有显著优势,与传统的递归神经网络以及卷积神经网络相比,Transformer架构引入了自注意力机制替代循环神经网络和卷积神经网络,通过编码器-解码器架构实现序列到序列的转换。编码器通过多层自注意力机制提取特征,解码器关联输入与目标序列,并引入位置编码补充序列位置信息。

图5 Transformer 网络原理示意图
3. 岩心识别与编录
岩心分析是矿产勘察的工作之一,通过岩心分析科获取地质体内部结构、岩性、矿物组成等关键信息。作为岩心地学信息获取与信息挖掘研究的新方向,岩心成像光谱扫描能实现岩心无损探测,获取能全面和客观反映岩石结构、矿物成分、岩石类型等特征的图谱合一数据。利用高光谱遥感技术进行岩心编录,具有快速、高效、数字图像化存储和无损识别岩心矿物种类,定量、半定量估算矿物含量,甚至取代昂贵的矿物测量方法在岩心中识别常规难以识别的矿物等优点。通过高光谱成像仪对钻孔岩心进行数字化扫描,将实物转化为包含大量光谱信息的电子数据;随后利用光谱匹配和矿物填图技术,自动识别与提取每个像元中的岩石或矿物;最终通过分析诊断性光谱特征或计算矿物像元占比,实现对蚀变矿物相对丰度的半定量/定量编录,生成可用于综合地质研究的矿物含量曲线,从而为铀矿勘查提供高效、精细的数字化工具体系[6]。AHG2500推扫式高光谱成像仪以其高光谱分辨率与成像能力,完全满足从岩心扫描到信息提取的全流程技术需求,为矿产勘查构建了一套高效、精细的数字化岩心分析工具体系。

图6 某铀矿化段岩心高光谱信息分布图(a—VNIR真彩色图像;b—SWIR假彩色图像;c—SWIR矿物填图结果)
4. 高光谱成像系统:从数据获取到找矿应用
高光谱成像系统主要由物镜、狭缝、准直镜、透射式光栅、棱镜、面阵探测器和数据存储系统组成。光线经过成像物镜射入并会聚到入射狭缝,经准直镜后人射到与透射式光栅和棱镜组成的分光模块,复色光线经过色散部件后变为单色光线,此时地物目标成为一系列线阵列像元,之后通过成像镜的会聚作用,成像在焦平面探测器上成像,最后经过光电转换由数据存储系统接收,从而获得目标的二维空间信息。

图7 高光谱成像系统组成
随着无人机技术愈发成熟,通过集成高光谱传感器与无人机平台,实现了大面积、高分辨率的地表矿物探测,逐渐成为矿山地质调查的高新技术手段工具。无人机垂直起降能力使其在矿山复杂地形中高效完成多个重点区域的高精度测量,较传统地面调查效率提升3倍~5倍。AHA2500Plus机载全波段高光谱成像仪集高光谱、热红外、RGB相机为一体,采用高性能分光器、探测器、智能采控存储单元及IMU/GNSS定位模组,高光谱范围覆盖400~2500nm全波段,实现从可见光到短波红外的高光谱无缝探测,还能同步获取热红外和高清RGB图像,轻松适配多种多旋翼无人机,满足矿物勘测、地质调查、矿山修复、油气泄露检测、等多样化应用场景。

图8 AHA2500Plus机载全波段高光谱成像仪
| AHA2500系列机载高光谱成像仪 | |||
|
型号 |
AHA2500 |
AHA2500IR |
AHA2500Plus |
|
波段范围 |
900~2500nm |
900~2500nm-HSI + 8~14μm-IR |
400~2500nm + 8~14μm-IR |
|
探测器空间维 |
640 |
640 |
2048(VNIR) 640(SWIR) |
|
采样间隔 |
3.5nm |
3.5nm |
0.5(VNIR) 3.5(SWIR) |
|
RGB图像 |
/ |
2500万像素 |
2500万像素 |
|
热红外图像 |
/ |
640*512 |
640*512 |
|
数据记录容量 |
1 TB SSD |
1 TB SSD |
1 TB SSD(可定制) |
|
GNSS/IMU |
航向精度0.038°,姿态精度0.008° GNSS:GPS+GLONASS+Galileo+BeiDou |
||
图9 AHA2500系列机载高光谱成像仪
AHG2500短波红外高光谱成像仪配备高性能分光组件及制冷型大面阵探测器,可自由设定测量参数,具有手机控制、远程监测、硬件/自动触发等多种测量方式,满足表型观测架、三脚架、室内实验台等多种测量任务需求。可快速获得900~2500nm光谱范围的高光谱图像数据,通过SAM、SVM及Transformer网络等提取蚀变信息,并叠加研究区的地质界线、遥感断裂解译、岩性和构造,形成岩性构造蚀变矿物多源地学信息综合图、岩心编录。

图10 AHG2500短波红外高光谱成像仪
基于地面部署短波红外高光谱成像系统,并在无人机平台集成全波段高光谱成像系统与高精度惯导,可形成‘地-空’协同、覆盖可见光至短波红外全波段、空间分辨率达厘米级的立体探测能力。依托辐射校正、噪声抑制等快速处理流程,结合矿物光谱库与算法,实现矿物成分自动解混及蚀变带精准圈定,最终生成地质填图成果。这一体系将推动矿产勘查从静态普查向全生命周期动态监测升级,为绿色矿山建设与资源高效开发提供技术支撑。
产品链接:https://azup.cn/newsinfo/10964687.html
https://azup.cn/newsinfo/10964690.html
https://azup.cn/newsinfo/10964691.html
1参考文献
[1] 王桂安,殷宗耀,余先川.基于遥感高光谱数据的人工智能地质填图与矿产预测:现状、挑战与展望[J/OL].科学技术与工程,1-18[2026-01-14].https://link.cnki.net/urlid/11.4688.t.20250909.1753.002..
[2] 唐淑兰. 基于多尺度分析和机器学习的遥感影像找矿预测及填图方法研究[D].西安: 长安大学,2021.
[3] 徐元进, 胡光道, 张振飞. 基于光谱整体形态和局部吸收谷位置的高光谱遥感图像地物识别[J].武汉大学学报(信息科学版), 2010, 35(07): 868-872.
[4] 王瑶,肖克炎,唐瑞,等.综合多源数据的蚀变矿物填图及其地质应用:以内蒙古新忽热地区为例[J].地学缘,2025,32(04):213-221.DOI:10.13745/j.esf.sf.2025.4.57.
[5] 王帅.基于深度学习的高光谱矿致异常识别方法研究[D].中国地质大学(北京),2024.DOI:10.27493/d.cnki.gzdzy.2024.000038
[6] 叶发旺,张川,邱骏挺,等.铀矿勘查岩心高光谱技术研究及应用十年进展[J].世界核地质科学,2022,39(04):623-636.
产品列表
测量服务
摘要:
-
ꁸ 回到顶部
-
ꂅ 4006-507-608
-
ꁗ QQ客服
-
ꀥ 微信二维码

北京安洲科技有限公司 版权所有 电话:4006-507-608 010-62111182 邮箱:info@azup.com.cn
Copyright 2009 Auto Parts All Right Reserved
上海
公司地址:上海市天山路641号上海慧谷1号楼300#
4006507608
西安
公司地址:西安市高新区唐延路37号国际公寓C座1106
4006507608
武汉
公司地址:武汉市武昌区复地东湖国际6期10栋1602
4006507608
广州
公司地址:广州市天河区元岗横路31号慧通广场B1-1422
4006507608
联系方式
销售部:4006-507-608 sales@azup.cn
技术部:010-62111182 service@azup.cn
市场部:010-62112652 marketing@azup.cn
北京(总部)
公司地址:北京市海淀区中关村软件园东区
010-62112602 info@azup.cn
4006507608
